运输问题检验数位势法
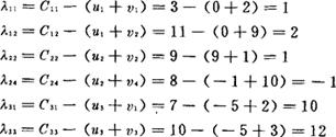
指另一计算运输问题检验数的方法,计算效果同“闭回路法”,方法稍简捷一些。 设两组数ui和vj,分别与运输表格上的行与列对应,称行位势和列位势。首先由打圈格的单位运费Cij,按公式:Cij=ui+vj,求出行位势ui和列位势vj的值(可在表格上加一行一列,将求得的数值填入)。然后,对打×格,由公式λij=Cij-(ui+vj)即可计算出各打×格对应检验数的值。 例,对用“最小元素法”求出的初始调运方案用位势法计算检验数。  首先任设u1=0,求出ui和vj: 由u1+v3=c13=3 ∵u1=0 ∴v3=3 u1+v4=c14=10∴v4=10 u2+v3=c23=2∵v3=3 ∴u2=-1 u2+v1=c21=1∴v1=2 u3+v4=c34=5∵v4=10 ∴u3=-5 u3+v2=c32=4∴v2=9 填入表中。 再由ui及vj值计算打×格检验数  |