网站首页  词典首页


请输入您要查询的字词:

 

字词 进、排风窗面积的计算
类别 中英文字词句释义及详细解析
释义 进、排风窗面积的计算

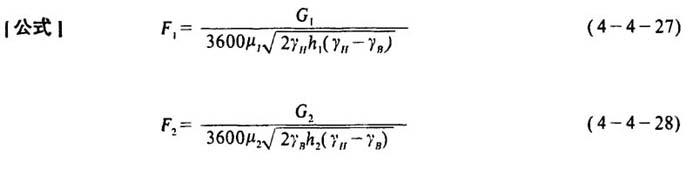
1.方法一

式中 F1。F2——分别表示进、排风窗的面积(m2)

G1、G2——分别表示进、排风窗的进、排风量(kg/h)

μ1、μ2——分别表示进、排风窗的流量系数,见表4-4-15

γH——进风窗中线至中和界平面空气的重度(N/m3)

h1、h2——分别表示进、排风窗中心到中和界面的垂直距离(m)

g——重力加速度(9.81m/s2)

表4-4-15 由窗口形式决定窗户的通风流量系数μ

注:ψ表示进排气孔局部阻力系数;μ表示流量系数。

2.方法二

[说明]在稳定情况下,进风量等于排风量,采用同型窗口,室内外温差不太大时,还可用下式计算。

式中符号含义及单位均同式4-4-27和式4-4-28。

[讨论]当厂房高度为已知,则可由此推算出进风窗和排风窗的中心线间距h,于是在F1及F2算出后,就可以直接算出h1和h2

3.方法三

[说明]当仅有热压作用而且进、排风口面积相等时,可采用此法计算出q值,再求出车间总排气量后,就可以计算出开窗面积。

式中 q——当仅有热压作用而且进、排风口面积相等时,经1m2窗口的排气量[m3(m2·h)]

H——进、排风窗之间的中心距离(m)

t——室内外空气的平均温度(℃)

随便看

 

离鸟网收录3541549条中英文词条,其功能与新华字典、现代汉语词典、牛津高阶英汉词典等各类中英文词典类似,基本涵盖了全部常用中英文字词句的读音、释义及用法,是语言学习和写作的有利工具。

 

Copyright © 2004-2024 vtrois.com All Rights Reserved
更新时间:2026/4/8 3:26:54