网站首页  词典首页


请输入您要查询的字词:

 

字词 进出口商品的作价原则
类别 中英文字词句释义及详细解析
释义 进出口商品的作价原则

1.进口商品的价格构成

❶ 进口货物的FOB价;
❷ 运费;
❸ 保险费;
❹ 进口税费;
❺ 目的港码头捐税;
❻ 卸货费;
❼ 检验费;
❽ 仓储费;
❾ 国内运杂费;
❿ 其他杂费;⑾佣金;⑿预期利润等。

2.出口商品的价格构成

❶ 收购成本;
❷ 包装费;
❸ 国内运费;
❹ 仓储费;
❺ 检验费;
❻ 运费;
❼ 出口税费;
❽ 启运港码头捐税;
❾ 装货费(驳船费);
❿ 其他杂费;⑾佣金;⑿预期利润。

3.进出口业务中的佣金与折扣

佣金与折扣在国际贸易实务中具有很强的促销作用,尤其是对那些冷、背、呆、滞、残、新、小商品,在其他竞争手段效果不甚明显的情况下,经营者往往可以运用佣金与折扣,即:

❶ 给予进口商以价款方面的减让(折扣),以让利的方式吸引商人们与之签约;

❷ 从自己的收益中分割出一部分酬劳中间商(佣金),以经济利益刺激中间商促进成交的积极性和主动性。

(1)折扣价=原价×(1-折扣)

4.出口商品的作价原则

依据国际市场上供求关系的变化,结合我出口企业具体的购销意图和我们的国别地区政策,参照国际价格水平来确定出口商品的价格。

5.出口商品的订价策略

(1)撇油订价策略:对于技术水平不高,工艺要求不很复杂,容易被其他企业仿冒的商品,要采用高价销售的策略,求得在最短的期间内收回预期利润。

(2)渗透订价策略:渗透订价策略可以实现企业所期望的2个目标:
❶ 将自己的产品推向已经强手如林的市场,可以采用低价渗透抢夺其他企业的市场份额;
❷ 长期采取低价低利的订价策略,以排斥其它企业与之并存,肃清市场上的竞争对手。

(3)声望订价策略:对于已成名的企业、产品和经销商而言,维持或订定较高的商品价格往往能够为消费者所接受,并且容易在市场上形成价高质优的形象。

(4)尾数订价策略:就需求价格弹性较强的商品来说,运用尾数标价,如100元一件的羊毛衫,实际标价99.96元,会使消费者有便宜的感受,进而愿意购买。

(5)整数订价策略:某些有档次感的商品,我们反而要把实际价格99.96元,标示为100元整,才有利促销,因为此时2分钱之差,使消费者感觉到商品处于更高的档次等级。

(6)习惯订价策略:日用品、服装、鞋帽、礼品、食品等商品,通常存在著消费者业已习惯或认可的价格水平,如若企业忽视了这一点,随意变动商品的价格,则令导致消费者产生疑虑而影响销售。如男皮鞋,一般价格都在60元至180元之间,而某双要是标价15元的话,顾客会以为是残次品等而不敢购买。

6.出口商品成本核算的3个常用公式

例题:假设中国酒花CIFC1汉堡每公吨4,000美元,保险费300美元,运费每公吨400美元,国内收购价每公吨20,000元人民币,国内运费200元人民币,仓租每公吨10元人民币,包装费每公吨70元人民币,其他杂费每公吨20元,汇率为$1=8元人民币,计算酒花出口盈亏率。

计算步骤:

❶ 出口销售人民币净收入=(4,000-300-400-40)×8=26,080(元人民币)

❷ 出口人民币总成本=20,000+200+10+70+20=20,300(元人民币)

(2)出口商品换汇成本=出口人民币总成本/出口销售美元净收入

例题:假设中国大豆CIFC1伦敦1,000美元,保险费40美元,运费每公吨150美元,国内收购价每公吨600元人民币,国内运费每公吨70元人民币,仓储费每公吨10元人民币,包装费每公吨1o元,其他杂费每公吨25元,汇率$1=8元人民币,计算大豆的出口换汇成本。

计算步骤:

❶ 出口人民币总成本=600+70+10+10+25=715(元人民币)

❷ 出口销售美元净收入=1,000-40-150-10=800(美元)

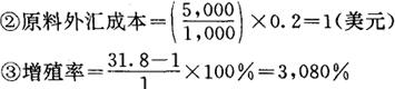
例题:假设进口不锈钢原料CIF天津每公吨5,000元人民币,加工不锈钢炒锅1,000个,每个不锈钢炒锅出口价格为CIF东京150元人民币,天津至东京的运费为5元人民币,保险费4元人民币,汇率$1=5元人民币,计算外汇增殖率。

计算步骤:

❶ 成品出口外汇净收入=(150一5-4)×0.2=31.8(美元)

随便看

 

离鸟网收录3541549条中英文词条,其功能与新华字典、现代汉语词典、牛津高阶英汉词典等各类中英文词典类似,基本涵盖了全部常用中英文字词句的读音、释义及用法,是语言学习和写作的有利工具。

 

Copyright © 2004-2024 vtrois.com All Rights Reserved
更新时间:2026/5/31 21:28:22