网站首页  词典首页


请输入您要查询的字词:

 

字词 连续式漂白用汽量的计算
类别 中英文字词句释义及详细解析
释义 连续式漂白用汽量的计算

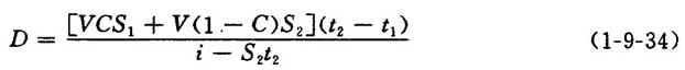
【公式】

式中 D——用汽量(kg/h)

V——每小时装浆量(m3/h)

其它同上

【例2】 某厂用连续漂白塔进行漂白,每小时供浆量为25m3,漂白浓度为12.5%,温度由15℃加热至40℃,漂白塔体积为25m3,问每kg绝干浆需蒸汽量多少?(其它已知条件同例1)

随便看

 

离鸟网收录3541549条中英文词条,其功能与新华字典、现代汉语词典、牛津高阶英汉词典等各类中英文词典类似,基本涵盖了全部常用中英文字词句的读音、释义及用法,是语言学习和写作的有利工具。

 

Copyright © 2004-2024 vtrois.com All Rights Reserved
更新时间:2026/4/7 0:30:03