追加投资回收期法
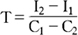
以追加投资额与成本节约额之比即追加投资回收期作为评价投资方案的方法。 设有A、B两种方案,A的投资额I1,采用A方案生产的产品成本为C1,B的投资额与成本分别是I2与C2。不妨设I2>I1,这时C2应小于C1(否则不需考虑,直接取A方案,投资少,成本低),这时定义投资回收期T为:  式中:T——投资回收期;I2-I1——方案B比A方案增加的适加投资;C1-C2--方案B比方案A在运行时成本的减少额。追加投资回收期反映了全部追加投资收回所需的时间。 例:某厂计划新建一条生产线,可以有A、B两种方式,A方式投资额100万元,年运营费用20万元,B方式投资额300万元,年运营费用10万元。 求方式B的追加投资回收期。 解:  采用追加投资回收期法评价投资方案时,应先制定出该项目的使用年限,然后选定一投资额最小的方案作为基准,计算其余各方案相对于基准方案的追加投资回收期,选择最小的一个,若它的回收期小于该项目的使用年限,则取它作为最优方案,否则应取基准方案作为最优方案。在上例中,若计划年限为30年,则应选方案B,若计划期年15年,则应选方案A。 |