追赶模型
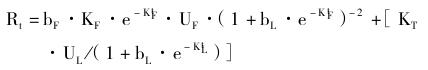
描述国际技术转移的数理模型。 它以存在技术缺口和技术发展呈逻辑斯谛曲线状态的假定为前提,对国际技术转移的过程和结果进行准动态分析。该模型是由以色列经济学家巴拉奇·莱兹和伊萨克·埃塞于1988年在其《“连接”技术转移的模型——罗辑斯谛曲线研究》(载于《技术预测与社会变革》,第33卷,1988年,第3期)一文中首次提出的。其数理表达式如下:  其中Rt为技术接受国的技术增长率;bF、bL分别为技术接受国和转移国的技术初始状态的参数值;KF、KL、KT分别是技术接受国和技术转移国的自身技术开发能力及技术转移率;UF、UL分别为技术接受国和转移国的技术发展上限;t为时间。这表明:(1)在转移国与接受国之间的技术发展水平缺口既定的情况下,后者“追赶”上前者所必需的数理条件;(2)技术转移率是转移国影响技术转移的最重要因素。 |