网站首页  词典首页


请输入您要查询的字词:

 

字词 退休金给付标准
类别 中英文字词句释义及详细解析
释义 退休金给付标准

在实行投保资助型老年社会保险制的国家,退休金给付标准取决于基础工资、退休金投保年限和退休金率。

对基础工资各国有不同理解,有的以最后一年的基础工资为标准,有的以退休前十年中最高的三年平均工资为标准,有的以退休前最后60个月中标准最高的40个月的平均数为依据。

基本公式:退休金标准=基础工资×投保年限调退休金率。例如:意大利规定基础工资每月30万里拉,投保35年,退休金率2%,月退休金=35万里拉×35年×2%=24万里拉。

在联邦德国将基础工资理解为“相对基础工资”,是指退休者投保期间的工资总和与占同期在职平均工资总和的百分比。

假设,投保人投保20年,20年工资总数为10万马克,但同一时间,全体在职平均工资总和为12.5万马克,这位退休人员的相对经济地位是在全体工作者平均水平的80%。()其次,要求确定退休者在职期间最后三年内全国投保人的年平均工资,如果假设它为1.25万马克,那么这位退休人员的相对基础工资是1.25万马克×80%=1万马克。

如果这个退休者退休金率为1.5%,那么按上述公式该退休人员月退休金标准是:

1.25万×80%×1.5%×20年=3000(马克)

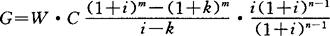
计算退休金不仅受到基础工资、投保年限和退休金率的影响,而且要享受经济成果,考虑到这一因素,其公式为

式中: G退休金给付标准

W开始工作的年工资额

C在业期间不变的投保费率

i年复利率

k工资年增长率

m在业年限

n退休后的平均预期寿命

随便看

 

离鸟网收录3541549条中英文词条,其功能与新华字典、现代汉语词典、牛津高阶英汉词典等各类中英文词典类似,基本涵盖了全部常用中英文字词句的读音、释义及用法,是语言学习和写作的有利工具。

 

Copyright © 2004-2024 vtrois.com All Rights Reserved
更新时间:2026/4/5 14:22:42