送风机的选择计算
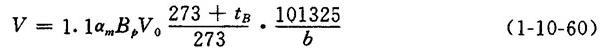
【说明】 燃烧每吨固形物需要空气量求出后,就可计算风量和风压,继而选出风机。 1.送风量的计算 【公式】  式中 V——送风量(m3/h) 1.1——风量备用系数 am——炉膛过剩空气系数 Bp——每小时进入喷射炉的固形物量(kg/h) V0——每kg固形物理论需要空气量(标准m3/kg) b——当地大气压(Pa),当海拔高度小于200m时,可采用101325Pa tB——进入送风机的冷空气温度(C) 2.送风机的总压头  式中 1.2——备用系数 HB——总压头(Pa) ∑△h——总阻力(Pa)  Δh1——喷风嘴需保持的压力(Pa) △h2——空气预热器对空气阻力(Pa) Δh3——空气在管道中的摩擦阻力及局部阻力(Pa) 其它同上 |