网站首页  词典首页


请输入您要查询的字词:

 

字词 逐步Fisher判别方法
类别 中英文字词句释义及详细解析
释义 逐步Fisher判别方法

判别分析是多元分析中应用性较强的一个分支。

它根据研究对象y被分为k个总体(类别)时,可能与m个因子x1,x2,…,xm有关,从每个总体Gα中抽取nα个样品数据,…, (α=1,2,…,k;n1+…+nk=n). (1)

依一定的判别准则建立判别模型。比如,当使用Fisher判别准则建立线性判别函数

y=β1x1+…+βmxm (2)

后,就可以由式(2)对任一样品x(i)=(xi1,xi2,…,xim)′的属类作出预测。

例如,根据n1个正常人及n2个冠心病人都同样检查了m个因子的数据,依判别准则得出模型(2)后,就可以对某个也做了同样m个因子(症状)数据的人作出是否得了冠心病的诊断。又如可以利用历年的气象因子的数据资料建立的判别模型来预测明年某地的雨量是偏多、偏少、或正常,等等。

怎样由已知的n个样品数据(1),按一定的判别准则求出βj(j=1,2,…,m)的估计而建立判别效果好的判别式?这是判别分析的核心问题。目前常用的方法有Bayes准则、Fisher准则、距离判别和非参数方法等。

无论采用哪种准则或方法建立的判别模型对任一样品作出预测推断时,都有可能会产生错判。根据所用方法建立的判别准则,都相应地有一套计算错判概率的理论方法。

为了使得建立的判别模型有实用价值,不管使用怎样的数学错判原则,都必须保证原样品的回代正确率η愈大愈好。从实用的要求而言,若η<80%,则模型的外延预测能力是比较差的;若η>90%,则外延预测的错判将可能大大地减少。

实际工作者往往知道y与某些因子有关。因此,选择判别能力强的因子变量xj(j=1,2,…,m)建立判别模型是判别分析中最重要的问题。

如果Gα(α=1,2,…,k)遵从正态分布,利用Bayes准则所建立的逐步判别分析方法是60年代中期以来国内外使用最为普遍的计算程序。该方法筛选因子变量的依据是Wilks统计量,按此原则建立的判别模型有时达不到使样本回代正确率最高这一要求。

1990年谭良也用判别符合率的观点讨论了Bayes准则下的判别分析方法的因子筛选问题。当Gα的分布任意时,至今尚无提供较好的选择因子的方法。

比如关于距离判别方法的筛选因子问题,张尧庭、方开泰曾提出利用已选的r个因子的总体分辨率(其中为第i个总体样本均值向量;V(i)为样本协方差阵)

和预先选定的H0,采用统计量

筛选因子。当时,则选入因子xlj,而剔除因子的准则也类似式(4)的统计量。

但这里存在H0的选择标准及式(4)的确定问题。因为直到现在Hj的分布是未知的,所以实际应用中尚缺乏理论根据。

对于Fisher判别方法,至今尚未提出怎样筛选因子。

为改进Fisher判别方法没有筛选因子功能的缺点,本条目提供一种直观的筛选因子的方法。其筛选因子的标准就是前面提过的样品回代判断正确率。具体计算步骤如下:

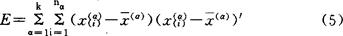
设具有m个因子的nα个样品,…,取自均值向量为μ(α),协方差阵为V(α)的总体Gα(α=1,2,…,k);n1+…+nk=n。

根据方差分析的原理,对组内离差阵

进行分解

E=LL′ (6)

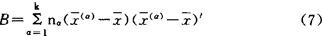
并由组间离差阵

与L所形成的特征方程

|L-1BL/-1-λI|=0 (8)

之后,按下述逐步筛选因子的具体步骤建立Fesher判别式(其中表示样本的均值向量,表示总体Gα的样本均值向量,α=1,2,…,k)。

1.由式(8)计算各因子的最大特征值

❶ 求出对应于的特征向量,则对任意的样品x所建立的判别式为: (9)

❷ 利用式(9)回代计算各样品的对应值。从而在求出各类的平均值后,就可确定出判别任一样品x的鉴别临界值。(α=1,2,…,k;c=1,2,…,k-1)。

最后可以依各样品的数据yj判别它的属类与原分类相符合的正确数

❸ 令 (10)

则第一个吸收的因子为xl1,记为(&)={l1}。

其中(&)既表示入选因子的下标集,也表示吸收因子的个数,如果有,且li≠lj,则吸收因子xl1=xli

2.固定因子xl1,结合其余m-1个因子的每一个,依式(8)计算.然后重复使用1.中的❶ 一❸ 步骤,求出

如果,则继续吸收第2个因子xl2(否则挑选因子的步骤结束)。此时(&)={l1,l2

从下一步起,每吸收一个新的因子,都要考虑能否剔除其它已吸收的因子。

计算步骤与上面叙述的类似。

一直到不能剔除,也不能吸收新因子为止。

如果模型(2)中的因子有些是质的数据,那么对质的因子施行数量化(也可直接由所给的等级按自然数赋值)后仍然适用。因此,有关数量化模型同样可用上述方法逐步筛选因子,从而使得本方法的应用范围更为广泛。

上述介绍的逐步筛选因子的思想方法同样适用于距离判别方法。它以回代正确率这一标准及类似的计算步骤(1)、(2)替代式(3)、(4),就可得到比较自然的逐步距离判别方法,而且Gα的分布可以是任意的。

一般情况下,由于Fisher判别方法在回代计算中要比距离判别方法简单得多,所以在判别效果相差无几的情况下,使用Fisher判别方法会更方便。

从给定的m个因子寻找回代正确率高的,由k(≤m)个因子组成的判别模型,当m较大时需要计算2m-1种组合因子的判别模型,这样做计算量是很大的。

本条目提供的方法不但计算量小,而且直观,易于实现。特别是在实用上能达到原样本的回代正确率的要求即可选用。

从而填补了这方面的研究空白。由于判别分析有著广泛的应用,相信今后将会有更好的筛选因子的计算方法出现。

。【参考文献】:

1 Rao C R.Linear Statistical Inference and Its Applications.New York:John wiley.1971

2 科学院计算中心.概率统计计算.北京:科学出版社,1979

3 董文泉,等.数量化方法及其应用.长春:吉林人民出版社,1 981.9

4 张尧庭,方开泰.多元统计分析引论.北京:科学出版社,1983

5 郭福星.逐步Fisher判别方法.数理统计与应用概率,1987,12

6 谭良.数学的认识与实践,1987,1

7 郭福星.多元统计分析.福州:福建科技出版社,1990.9

8 谭良.数学的认识与实践,1991,1

9 潘慰.数理统计与管理,1991,1

(福州大学郭福星教授撰)

随便看

 

离鸟网收录3541549条中英文词条,其功能与新华字典、现代汉语词典、牛津高阶英汉词典等各类中英文词典类似,基本涵盖了全部常用中英文字词句的读音、释义及用法,是语言学习和写作的有利工具。

 

Copyright © 2004-2024 vtrois.com All Rights Reserved
更新时间:2026/4/7 18:00:23