网站首页  词典首页


请输入您要查询的字词:

 

字词 通信建设项目经济评价
类别 中英文字词句释义及详细解析
释义 通信建设项目经济评价

通信建设项目投资经济效益的计量和评定。

指标包括:动态指标,考虑资金时间价值因素,并衡量项目整个寿命期的经济效益;静态指标,不考虑资金时间价值,不考虑项目整个寿命期的经济效益,而直接把项目达到设计能力的收益同项目的投资作比较。常用的指标有:

❶ 投资利润率。计算公式为:

❷ 单位造价。

又称“单位生产能力造价”。计算公式为:

❸ 实效系数。计算公式为:

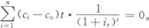
❹ 内部收益率。指项目可以支持的最大利率。当资金流入的现值总额与资金流出的现值总额,即净现值等于零时的折现率。

其表达式为:

式中:c1——年现金流入量;

co——年现金流出量;

(c1-co)1——第t年的净现金流量;

n——研究期年数;

ir——项目可以支持的最大利率,即内部收益率,其计算公式为:

式中:PV——采用低折现率i1时的净现值(正值);

NV——采用高折现率i2时的净现值(负值)。

计算时,i1、i2要经几次试算,i1、i2之差以不超过0.5%为宜。

❺ 投资回收期。建设项目投产后,用累计的收益抵偿项目所耗用的总投资所需要的时间(年)。

分静态投资回收期和动态投资回收期。静态投资回收期的计算公式为:

动态投资回收期的表达式为:

式中:N——动态回收期(年);

S——项目年总收入;

Cm——年总支出(不含折旧);

S-Cm——年回收投资额;

i——利率;

——第t年的折现率。

计算时,要从总投资额中逐年扣除回收投资额,以求得投资回收期。

随便看

 

离鸟网收录3541549条中英文词条,其功能与新华字典、现代汉语词典、牛津高阶英汉词典等各类中英文词典类似,基本涵盖了全部常用中英文字词句的读音、释义及用法,是语言学习和写作的有利工具。

 

Copyright © 2004-2024 vtrois.com All Rights Reserved
更新时间:2026/4/7 17:02:32