网站首页  词典首页


请输入您要查询的字词:

 

字词 通过圆筒壁的定态热传导速率计算
类别 中英文字词句释义及详细解析
释义 通过圆筒壁的定态热传导速率计算

1.单层圆筒壁

式中 Q——传递热量(kJ)

L——圆筒长度(m)

r1、r2——内径及外径(m)

t1、t2——内外表面温度(℃)

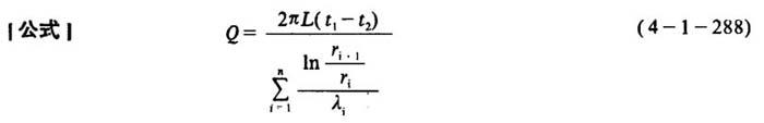
2.多层圆筒壁

式中符号含义及单位均同上

]例]有一直径为Φ38×2.5mm的蒸汽管,共50m长,导热系数λ1=46.5W/(m·℃),为了减少热损失,在管外包上两层绝缘层,第一层是50mm厚的蛭石,导热系数λ2=0.0697W/(m·℃),第二层是10mm厚的石棉泥,λ3=0.51W/(m·℃),若管内壁温度为120℃,石棉泥外表温度为20℃,求该蒸汽管损失的热量?如果标煤的发热值为29307.6kJ/kg,求每年损失的热量折标煤多少吨?

随便看

 

离鸟网收录3541549条中英文词条,其功能与新华字典、现代汉语词典、牛津高阶英汉词典等各类中英文词典类似,基本涵盖了全部常用中英文字词句的读音、释义及用法,是语言学习和写作的有利工具。

 

Copyright © 2004-2024 vtrois.com All Rights Reserved
更新时间:2026/4/6 23:03:10