造纸原料灰分中SiO2的测定计算
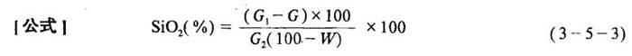
[测定方法]精称20g试样(同时另称试样测水分),于瓷蒸发皿或大瓷坩埚中,先在较低温度下灼烧至炭化,再移入高温炉,于不超过600℃温度下,灼烧至灰渣中无黑色炭素。反复用比重1.19的浓盐酸将残渣润湿并在水浴上蒸干二次,最后移入烘箱,于105~110℃烘干1h。冷后,用浓盐酸润湿残渣,并用热水溶解于150ml烧杯中(注意用热水漂洗蒸发皿或瓷坩埚,所有洗液均倒入烧杯中),加水至溶液总量为100ml,煮沸,趁热过滤,以热水洗涤至洗液不含Cl-为止。将残渣连同滤纸移入已恒重的瓷坩埚中,烘干,灼烧至恒重,所增加的重量,即为SiO2量。  式中 G——坩埚重(g) G1——盛有SiO2的坩埚重(g) G2——风干试样重(g) W——试样水分(%) |