网站首页  词典首页


请输入您要查询的字词:

 

字词 造纸机能量平衡及计算方法
类别 中英文字词句释义及详细解析
释义 造纸机能量平衡及计算方法

1.能量平衡方框图

能量平衡方框图说明:体系从造纸机蒸汽流量表开始至冷凝水排出。

图中符号意义:

Q1——蒸发纸页水分至规定干度用热量,kJ/kg;

Q2——加热浆料纤维至蒸发温度用热量,kJ/kg;

Q3——加热纸张中残余水分至蒸发温度用热量,kJ/kg;

Q4——供给纸页烘干至规定干度用热量,kJ/kg;

Q5——供给纸机生产其他用热量(包括网部、喷雾、压榨部冲毛毯、烘缸部热风等),kJ/kg;

Q6——冷凝水带走热量,kJ/kg,若冷凝水已回收到动力车间,则Q6不计算;

Q7——管道损失热量,kJ/kg;

Q8——造纸机其他损失热量,kJ/kg,常温浆料带入热量不计入,如超过常温则热量应计入。

2.能量平衡及设备热效率计算:

(1)纸张有效单位耗热量

❶ 进烘缸每公斤成品纸中,将水分蒸发至规定干度所需的热量Q1:

❷ 每公斤成品纸中的浆料纤维加热至蒸发温度所需的热量Q2

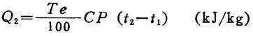
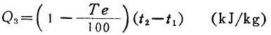
❸ 预热每公斤成品纸张中残余水分至蒸发温度所需的热量Q3

式中:Fa——干燥部入口纸页的绝对干度,%;

Te——干燥部出口纸页的绝对干度,%;

t1——干燥部入口的纸页温度(取室温),℃;

t2——纸页离开烘缸时的温度(取100℃),℃;

i1——在t1温度下,原料中水分的焓,其值可取为t1kJ/kg;

i″——常压下,纸页水分蒸发所逸出的热量(取2677.25kJ/kg);

Cp——绝干纤维的比热容(1),〔取1.42kJ/(kg·℃)〕。

(2)纸张有效总耗热量QYx

式中:Gp——日产成品纸,kg/d。

(3)供给纸张实际总耗量QGG

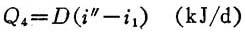
冷凝水不回收时:

式中:D——实际总耗汽量,kg/d;

i″——蒸汽的焓,kJ/kg;

i1——环境温度下凝结水的焓,kJ/kg。

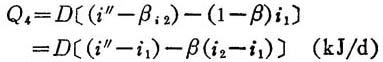
冷凝水回收时:

式中:D——实际总耗汽量,kg/d;

i″——蒸汽的焓,kJ/kg;

i1——环境温度下凝结水的焓,kJ/kg;

i2——冷凝水焓(取冷凝水温度值),kJ/kg;

β——冷凝水回收率,%。

Q5计算方法,如有流量计测试,则算法与Q4相同,无流量计测试,用实测方法计算。

(4)纸张实际单位耗热量Q'GG

(5)造纸机热放率计算:

(6)造纸机的热损失:Qss

❶ 冷凝水带走热量Q6

式中:G6——冷凝水量,kg/d;

注:如冷凝水已回收动力车间使用,则此项不计算。

❷ 管道损失Q7(2)

❸ 散热损失计算:

随便看

 

离鸟网收录3541549条中英文词条,其功能与新华字典、现代汉语词典、牛津高阶英汉词典等各类中英文词典类似,基本涵盖了全部常用中英文字词句的读音、释义及用法,是语言学习和写作的有利工具。

 

Copyright © 2004-2024 vtrois.com All Rights Reserved
更新时间:2026/4/7 15:56:24