网站首页  词典首页


请输入您要查询的字词:

 

字词 造纸纤维流失率的计算
类别 中英文字词句释义及详细解析
释义 造纸纤维流失率的计算

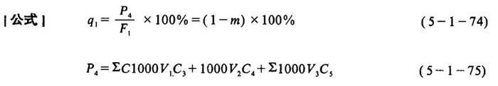
[说明]指造纸过程全部绝干纤维流失量占耗用纸浆的绝干纤维量的百分比。是反应造纸机在纸张制造过程中,纤维的流失情况的一个量。

式中 q1——造纸纤维流失率(%)

P4——造纸过程全部绝干纤维流失量(kg)

F1——相应耗用纸浆的绝干纤维总量(kg)

m——造纸纤维流失率(%)

V1——抄纸各部白水流失量(m3)

C3——抄纸各部白水流失浓度(%)

V2——抄纸清洗流失量(m3)

C4——抄纸清洗流失浓度(%)

V3——打浆白水流失量(m3)

C5——打浆白水流失浓度(%)

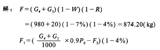
[例]某厂新闻纸车间,每吨成纸中合格品980kg,不合格品20kg,成纸水分7%,填料含有率4%,单位浆耗1072kg,废品和损纸的绝干纤维实量20kg,计算其造纸纤维收获率和流失率各为多少?

随便看

 

离鸟网收录3541549条中英文词条,其功能与新华字典、现代汉语词典、牛津高阶英汉词典等各类中英文词典类似,基本涵盖了全部常用中英文字词句的读音、释义及用法,是语言学习和写作的有利工具。

 

Copyright © 2004-2024 vtrois.com All Rights Reserved
更新时间:2026/4/6 16:22:40