那拉星
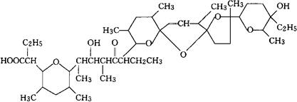
C43H72O11=765.04 CAS-55134-13-9 α-乙基-6-[5-[2-(5-乙基四氢-5-羟-6-甲基-2H-吡喃-2-基)-15-羟-2,10,12-三甲基-1,6,8-三噁二螺[4.1.5.3]十五(碳)-13-烯-9-基]-2-羟-1,3-二甲基-4-氧代庚基]四氢-3,5-二甲基-吡喃-2-醋酸。 α-Ethyl-6-[5-[2-(5-ethyltetrahydro-5-hydroxy-6-methyl-2H-pyran-2-yl)-15-hydroxy-2,10,12-trimethyl1,6,8-trioxadispiro[4.1.5.3]pentadec-13-en-9-yl]-2-hydroxy-1,3-dimethyl-4-oxohepthyl]tetrahydro-3,5-dimethyl-2H-pyran-2-acetic acid. 4-甲基盐霉素。 4-Methylsalinomycin. 抗菌药,抗鸡球虫感染。 甲基盐霉素。 Narasin,Narasin A,Monteban,A 28068A,C 18-205,C-7879B,Lilly-79891. INN,BAN,USAN.  |