网站首页  词典首页


请输入您要查询的字词:

 

字词 那格列钒
类别 中英文字词句释义及详细解析
释义 那格列钒

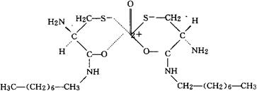
C22H46N4O3S2V=529.70

CAS-122575-28-4

双[2-氨基-3-巯基-N-辛基丙酰胺基(1-)-S]氧化钒。

bis[2-Amino-3-mercapto-N-octylpropionamidato(1-)-S]oxovanadium.

Naglivan.

INN,USAN.

随便看

 

离鸟网收录3541549条中英文词条,其功能与新华字典、现代汉语词典、牛津高阶英汉词典等各类中英文词典类似,基本涵盖了全部常用中英文字词句的读音、释义及用法,是语言学习和写作的有利工具。

 

Copyright © 2004-2024 vtrois.com All Rights Reserved
更新时间:2026/4/8 5:44:29