网站首页  词典首页


请输入您要查询的字词:

 

字词 配料比计算法
类别 中英文字词句释义及详细解析
释义 配料比计算法

指利用产品预定的配料比例和有关的技术经济指标(如成品率、损失率、废品率等)来计算确定物资消耗定额的一种方法。

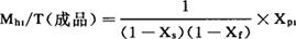
主要适用于冶金、化工等行业及机械铸造生产单位所需主要原材料消耗定额的制定。由于该类企业(或生产单位)的产品产量多以重量(吨位)为计量单位,故其物资消耗定额常用“每吨成品耗用多少重量的原(材)料”的形式来表示。计算生产一吨成品耗用i种原(材)料的定额“Mhi/T(成品)”的公式为:

式中:Xp1表示i原(材)料的配料比例;Xh表示合格产品成品率;Xs表示物料损失率;Xf表示废品率。

合格产品成品率Xh、废品率Xf和物料损失率Xs的计算公式分别为:

计算Xs的公式中,“各种物料损失之和”不包括废品损失,但包括现有条件下难以避免的其它部分非工艺性损耗。

Xf的计算公式中的“废品”一般是指现实条件下不可避免产生的废品(计划废品)。

Xh的计算公式中的“投入各种原材料总重”,含计划废品所耗之物料。

根据前述公式所计算求得的物资消耗定额,从理论上讲,应属供应定额。所以,在对生产单位供料和进行物料消耗考核时,需另制定工艺消耗定额或根据实际情况采取其它措施,以利物料消耗的严格控制。

随便看

 

离鸟网收录3541549条中英文词条,其功能与新华字典、现代汉语词典、牛津高阶英汉词典等各类中英文词典类似,基本涵盖了全部常用中英文字词句的读音、释义及用法,是语言学习和写作的有利工具。

 

Copyright © 2004-2024 vtrois.com All Rights Reserved
更新时间:2026/4/8 14:00:29