网站首页  词典首页


请输入您要查询的字词:

 

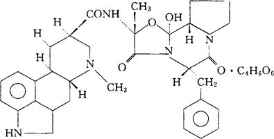
字词 酒石酸双氢麦角胺
类别 中英文字词句释义及详细解析
释义 酒石酸双氢麦角胺

C33H37N5O5·C4H6O6=733.76

CAS-511-12-6(dihydroergotamine)

(5′α)-9,10-二氢-12′-羟-2′-甲基-5′-(苯甲基)-麦角曼-3′,-6′,18-三酮,(+)-酒石酸盐。

(5′α)-9,10-Dihydro-12′-hydroxy-2′-methyl-5′-(phenylmethyl)ergotoman-3′,6′,18-trione,(+)-tartrate(salt).

抗肾上腺素药。用于偏头痛急性发作及血管性头痛,肢端动脉痉挛、冠脉痉挛等。

Dihydroergotamine Tartrate.

BP,MI.

随便看

 

离鸟网收录3541549条中英文词条,其功能与新华字典、现代汉语词典、牛津高阶英汉词典等各类中英文词典类似,基本涵盖了全部常用中英文字词句的读音、释义及用法,是语言学习和写作的有利工具。

 

Copyright © 2004-2024 vtrois.com All Rights Reserved
更新时间:2026/4/8 11:44:35