网站首页  词典首页


请输入您要查询的字词:

 

字词 酒石酸右吗咯酮
类别 中英文字词句释义及详细解析
释义 酒石酸右吗咯酮

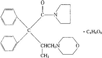
C25H32N2O2·C4H6O6=542.63

CAS-2922-44-3

CAS-357-56-2-(dextromoramide)

(±)-4-[2-甲基-4-氧代-3,3-二苯基-4-(1-吡咯烷基)丁基]吗啉重酒石酸盐。

(+)-4-[2-Methyl-4-oxo-3,3-diphenyl-4-(1-pyrrolidinyl)butyl]morpholine bitartrate.

镇痛药。

酒石酸右吗拉胺。

Dimorlin Tartrate,Dextromoramide Tartrate,Errccalma,Jetrium,Narcolo,Palfium.

INN & BAN(Dextromoramide),BP,USAN,MI.

随便看

 

离鸟网收录3541549条中英文词条,其功能与新华字典、现代汉语词典、牛津高阶英汉词典等各类中英文词典类似,基本涵盖了全部常用中英文字词句的读音、释义及用法,是语言学习和写作的有利工具。

 

Copyright © 2004-2024 vtrois.com All Rights Reserved
更新时间:2026/4/9 13:38:52