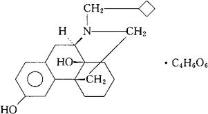
酒石酸布托啡诺
C21H29NO2·C4H606=477.55 CAS-58786-99-5 CAS-42408-82-2(butorphanol) 2,3-二羟(-)-17-(环丁基甲基)-吗啡喃-3,14-二醇[S-(R*,R*)]基丁烷二酸盐(1∶1)。 (-)-17-(Cyclobutylmethyl)-morphinan-3,14-diol,[S-(R*,R*)]-2,3-dihydroxybutanedioate(1∶1)(salt). (-)-17-(环丁基甲基)吗啡喃-3,14-二醇D-(-)-酒 石酸盐(1∶1)。 (-)-17-(Cyclobutylmethyl)morphinan-3,14-diolD-(-)-tartrate(1∶1)(salt). 镇痛药,镇咳药。 酒石酸环丁啡醇。 Butorphanol Tartrate,Verstadol,Moradol. BAN,USAN,USP. 
|