网站首页  词典首页


请输入您要查询的字词:

 

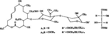
字词 酒石酸柱晶白霉素
类别 中英文字词句释义及详细解析
释义 酒石酸柱晶白霉素

抗生素类药。

用于葡萄球菌、链球菌、肺炎球菌的感染。

酒石酸吉他霉素。

Kitasamycin Tartrate,Leucomycin Tartrate.

酒石酸柱晶白霉素片,酒石酸柱晶白霉素软膏,注射用酒石酸柱晶白霉素。

A1=C40H67NO14=785.98

A3=C42H69NO15=827.98

随便看

 

离鸟网收录3541549条中英文词条,其功能与新华字典、现代汉语词典、牛津高阶英汉词典等各类中英文词典类似,基本涵盖了全部常用中英文字词句的读音、释义及用法,是语言学习和写作的有利工具。

 

Copyright © 2004-2024 vtrois.com All Rights Reserved
更新时间:2026/5/31 23:09:23