酒石酸莫仑太尔
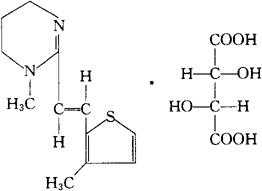
C12H16N2S·C4H6O6=370.42 CAS-26155-31-7 (E)-1,4,5,6-四氢-1-甲基-2-[2-(3-甲基-2-噻吩基)乙烯基]嘧啶,[R(R*,R*)]-2,3-二羟丁二酸(1∶1)。 (E)-1,4,5,6-Tetrahydro-1-methyl-2-[2-(3-methyl2-thienyl)ethenyl]-pyrimidine,[R(R*,R*)]-2,3-dihydroxybutanedioate(1∶1). (E)-1,4,5,6-四氢-1-甲基-2-[2-(3-甲基-2-噻吩基)乙烯基]嘧啶,酒石酸盐(1∶1)。 (E)-1,4,5,6-Tetrahydro-1-methyl-2-[2-(3-methyl2-thienyl)vinyl]pyrimidine tartrate(1∶1). 驱虫药,抗蠕虫药。 酒石酸甲噻嘧啶。 Morantel Tartrate,CP-12,009-18,Suiminth. INN & BAN(Morantel),USAN. 
|