网站首页  词典首页


请输入您要查询的字词:

 

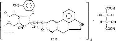
字词 酒石酸麦角胺碱[台]
类别 中英文字词句释义及详细解析
释义 酒石酸麦角胺碱[台]

C66H70N10O10·C4H6O6=1313.46

CAS-379-79-3

酒石酸麦角胺盐(2∶1)。

Ergotamine tartrate(2∶1)(salt).

治偏头痛药。用于偏头痛、子宫内膜炎等。

酒石酸麦角胺。

Ergostat,Migretamine,Cynergen,ErgotamineTartrate,Ergomar,Medihaler Ergofamine.

酒石酸麦角胺片,酒石酸麦角胺注射液,麦角胺碱锭(酒石酸麦角胺碱锭),麦角胺碱注射液(酒石酸麦角胺碱注射液)。

USAN,USP,MI.

随便看

 

离鸟网收录3541549条中英文词条,其功能与新华字典、现代汉语词典、牛津高阶英汉词典等各类中英文词典类似,基本涵盖了全部常用中英文字词句的读音、释义及用法,是语言学习和写作的有利工具。

 

Copyright © 2004-2024 vtrois.com All Rights Reserved
更新时间:2026/4/6 17:14:52