网站首页  词典首页


请输入您要查询的字词:

 

字词 酚加宾
类别 中英文字词句释义及详细解析
释义 酚加宾

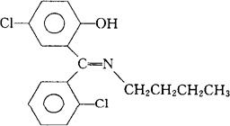
C17H17Cl2NO=322.23

CAS-80018-06-0

(Z)-2-[(丁基亚氨基)(2-氯苯基)甲基]-4-氯酚。

(Z)-2-[(Butylimino)(2-chlorophenyl)methyl]-4-chlorophenol.

(Z)-2-(N-丁基-邻-氯苄基亚氨)-4-氯酚。

(Z)-2-(N-Butyl-o-chlorobenzimidoyl)-4-chlorophenol.

α-丁亚氨基-4-氯-α-(2-氯苯基)-邻-甲酚。

Butylimino-4-chloro-α-(2-chlorophenyl)-o-cresol.

抗抑郁药。

Fengabine,SL 79.229-00.

INN,BAN,USAN.

随便看

 

离鸟网收录3541549条中英文词条,其功能与新华字典、现代汉语词典、牛津高阶英汉词典等各类中英文词典类似,基本涵盖了全部常用中英文字词句的读音、释义及用法,是语言学习和写作的有利工具。

 

Copyright © 2004-2024 vtrois.com All Rights Reserved
更新时间:2026/4/5 17:59:39