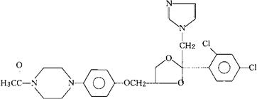
酮康唑
C26H28Cl2N4O4=531.44 CAS-65277-42-1 (±)顺式-1-乙酰-4-[4-[[2-(2,4-二氯苯基)-2-(1H-±咪唑-1-基甲基)-1,3-二氧戊环-4-基]甲氧]苯基]哌嗪。 (±)cis-1-Acetyl-4-[4-[[2-(2,4-dichlorophenyl)-2-(1H-imidazol-1-ylmethyl)-1,3-dioxolan-4-ylmetho-]xy]phenyl]piperazine. (±)-顺式-1-乙酰-4-[对-[[2-(2,4-二氯苯基)-2-(咪唑-1-基甲基)-1,3-二氧戊环-4-基]甲氧]苯基]哌嗪。 (±-)-cis-1-Acetyl-4-[p-[[2-(2,4-dichlorophenyl)-2-(imidazol-1-ylmethyl)-1,3-dioxolan-4-yl]methoxy]phenyl]piperazine. 抗真菌药。 Ketoconazole,R 41,400. INN,BAN,USAN,USP. 
|