酸性嫩黄2G
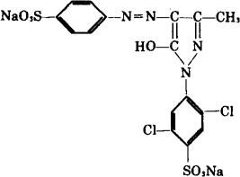
【别名】 酸性嫩黄2GS、酸性淡黄2G。 【国外相应商品名】 Erio Yellow 2G(CGY) Sandolan Yellow E-2GL(S) Kayacyl Yellow GG(KYK) 【结构式】  【功能与特点】 浅黄色粉末。溶于水呈绿光黄色,微溶于乙醇和丙酮,不溶于其它有机溶剂。于浓硫酸中为绿光黄色,将其稀释后不生成沉淀,遇浓硝酸呈红光黄色。它的水溶液加盐酸不变,加氢氧化钠液几乎不变。它的水溶液加雕白块脱色,但在空气中氧化,溶液又显出红光紫色。染色时遇铜、铁离子色泽稍红而暗。拨染性好。 【用途和用法】 可用于皮革染色。 【使用注意事项】 贮存于阴凉干燥处,避免日晒,防止受热受潮。 【主要生产厂家】 天津染料厂、上海染化八厂等。 |