网站首页  词典首页


请输入您要查询的字词:

 

字词 酸性湖兰A
类别 中英文字词句释义及详细解析
释义 酸性湖兰A

【别名】 A字湖兰。

【国外相应商品名】

Acid Brilliant Blue AF(Acna)

Lissamine Turquoise AN(ICI)

Xylene Blue AS(S)

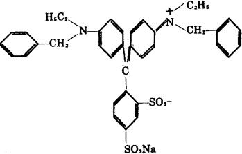
【结构式】

【产品质量标准】 企业标准(天津染化二厂)。

外观: 蓝色均匀粉末

色光: 与标准品近似

强度: 为标准品100±3

在羊毛织物上的染色坚牢度: 符合标准品

不溶于水的杂质含量: ≤1%

水分含量: ≤5%

细度(通过60目筛残余物含量): ≤5%

【功能与特点】 易溶于冷水和热水(呈蓝色),溶于酒精(也呈蓝色)。遇浓硫酸呈橄榄色,将其稀释后呈黄色。它的水溶液加氢氧化钠在沸腾时由蓝转变为紫色。染色时遇铜、铁离子色泽变绿暗。

【用途和用法】 可用于皮革染色。

【使用注意事项】 贮存于阴凉干燥处,避免日晒,防止受热受潮。

【主要生产厂家】 天津染化三厂。

随便看

 

离鸟网收录3541549条中英文词条,其功能与新华字典、现代汉语词典、牛津高阶英汉词典等各类中英文词典类似,基本涵盖了全部常用中英文字词句的读音、释义及用法,是语言学习和写作的有利工具。

 

Copyright © 2004-2024 vtrois.com All Rights Reserved
更新时间:2026/4/8 10:52:24