网站首页  词典首页


请输入您要查询的字词:

 

字词 酸法蒸煮锅热量平衡计算
类别 中英文字词句释义及详细解析
释义 酸法蒸煮锅热量平衡计算

1.能量平衡方框图

[说明]该体系从进入蒸煮的蒸汽流量表开始至放锅止。方框图中所标明的各项热量系根据一般蒸煮锅设备(无喷放锅)及生产工艺划分确定。如被测对象与上述情况有异,则其各项热量的划分应按实际情况进行。能量平衡方框图如下:

图中 Q1——加热绝干原料所用热量(kJ/锅)

Q——加热原料中水分所用热量(kJ/锅)

Q1——加热蒸煮液用的热量(kJ/锅)

Q4——从蒸煮锅内移出作次锅蒸煮回用蒸煮液带出的热量(kJ/锅)

Q5——大放汽回收的热量(kJ/锅)

Q6——直接加热蒸煮液供给的热量(kJ/锅)

Q7——间接加热蒸煮液供给的热量(kJ/kg)

Q8——蒸煮液带入蒸煮锅内的热量(kJ/锅)

Q9——放锅温水带入蒸煮锅内热量(kJ/锅)

Q10——蒸煮锅体加热损失热量(kJ/锅)

Q11——蒸煮锅体散热损失的热量(kJ/锅)

Q12——蒸煮锅管道及附属设备损失的热量(kJ/锅)

Q13——蒸汽冷凝水热损失(kJ/锅)

Q14——大放汽热损失(kJ/锅)

Q15——蒸煮锅其它热损失(kJ/锅)

2.蒸煮有效耗热总量的计算

[公式] Q=Q1+Q2+Q3+Q4+Q5 (4-1-105)

式中 Q——蒸煮有效耗热总量(kJ/锅)

其它同上

❶ 加热绝干原料用热量Q1的计算

[公式] Q1=G1C1(t6-t)(kJ/锅) (4-1-106)

式中 G1——绝干原料重量(kg/锅)

C1——原料的比热容[kJ/(kg·℃)]

t6——蒸煮最高温度(℃)

t——周围环境温度(℃)

❷ 加热原料中水分所用热量Q2

[公式] Q2=G2C2(t6-t)(kJ/锅) (4-1-107)

式中 G7——原料所含水分重量(kg/锅)

C2——水的比热容[4.1868kJ/(kg·℃)]

其它同上

❸ 加热蒸煮液用的热量Q3

式中 G3——蒸煮液总重量(kg/锅)

C3——蒸煮液的比热容[kJ/(kg·℃)],对于亚硫酸盐蒸煮液C3取4.187kJ/(kg·℃);对于硫酸盐蒸煮液,C3取3.77kJ/(kg·℃)

t5——从蒸煮锅移出的蒸煮液平均温度(℃)

t2——蒸煮开始温度(℃)

G′3——从蒸煮锅中移出作次锅蒸煮回用的蒸煮液的重量(kg/锅)

其它同上

❹ 从蒸煮锅移出作次锅蒸煮回用蒸煮液带出的热量Q4

式中 t3——回用蒸煮液的实际温度(℃)

其它同上

❺ 大放汽回收的热量Q5

式中 t4——蒸煮液回收大放汽热后的实际温度(℃)

t1——蒸煮液回收大放汽热前的实际温度(℃)

其它同上

3.蒸煮有效单位耗热量的计算

式中 Qm——蒸煮有效单位耗热量(kJ/kg风干浆)

m——蒸煮得率(%)

其它同上

4.蒸煮实际供给总热量的计算

式中 Q′——蒸煮实际供给总热量(kJ/锅)

其它同平衡方框图

❶ 直接加热蒸煮液供给热量Q6

式中 D1——直接加热蒸煮液所耗用蒸汽量(kg/锅)

i″——蒸汽的比能(焓值)(kJ/kg)

i′——环境温度下凝结水比能(kJ/kg)

❷ 间接加热蒸煮液供给热量Q7

式中 D2——间接加热蒸煮液所耗蒸汽量(kg/锅)

其它同上

❸ 蒸煮液带入蒸煮锅内热量Q8

式中 t4——进蒸煮锅蒸煮液的实际温度(℃)

t——周围环境温度(℃)

G3、C3——同式4-1-108

❹ 放锅温水带入蒸煮锅内的热量Q9

式中 G4——放锅温水的重量(kg锅)

t′——放锅温水的温度(C)

C2——水的比热容[4.1868kJ(kg·C)]

t——同上

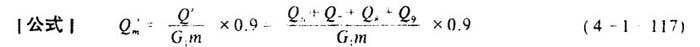
5.供给蒸煮实际单位耗热量的计算

式中 Q′m——供给蒸煮实际单位耗热量(kJ/kg风干浆)

Q′——同式4-1-112

G1、m——同式4-1-111

其它同式4-1-112

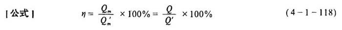
6.蒸煮锅热效率计算

式中 η——蒸煮锅热效率(%)

其它同上

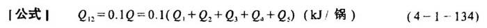
7.蒸煮过程重复利用热量的计算

式中 Qt——重复利用热量(kJ/锅)

Q4、Q5——同式4-1-109和式4-1-110

8.蒸煮锅体加热损失的热量Q11

式中 Q10a——锅体钢板加热损失的热量(kJ/锅)

Q10b——锅体保温层加热损失的热量(kJ/锅)

Qc——锅体砖衬加热损失的热量(kJ锅)

❶ 锅体钢板加热损失的热量Q10a

式中 G5——锅体钢板的总重量(kg/锅)

C——钢板的比热容[kJ(kg·C)],取0.48

t钢——钢板在蒸煮过程中达到的最高温度(℃)

t——蒸煮开始钢板温度(C)

❷ 锅体保温层加热损失的热量Q10b

式中 Gt——锅体保温层总重量(kg/锅)

C0——保温层材料的比热容[kJ(kg·C)],取0.754

t#——保温层在蒸煮过程中的最高温度(C)

t——保温层在蒸煮过程中的最低温度(℃)

❸ 锅体砖衬加热损失的热量Q10c

式中 G7——锅体砖衬的总重量(kg/锅)

C7——砖衬材料的比热容[kJ/(kg·℃)],取1.0

t砖——砖衬在蒸煮过程中达到的最高温度(℃)

t——砖衬在蒸煮过程中达到的最低温度(℃)

9.蒸煮锅体散热损失热量Q11

式中 Q11a、Q11b、Q11c——含义见下

❶ 蒸煮升温阶段锅体散热损失Q11a

式中 F——锅体总表面积(m2)

t6——蒸煮最高温度(℃)

t7——蒸煮开始温度(℃)

t——周围环境温度(℃)

Za——蒸煮升温时间(h)

K——传热系数[kJ/(m2·h·℃)]

a1——锅内蒸煮物对锅内壁的给热系数[kJ/(m2·h·℃)],取20934

a2——锅外壁对外界的给热系数[kJ/(kg·℃)]

x0——对流给热系数[kJ/(kg·℃)]

tm——锅外壁的平均温度(℃)

t——周围环境温度(℃)

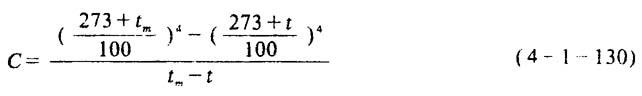
a′——辐射给热系数[kJ/(kg·℃)

a′=4.18CC′ (4-1-129)

C——温度系数

C′——辐射系数

C1——无光泽铁板的辐射系数,一般取4.4

C2——砖衬的辐射系数,一般取4.3

C3——完全黑体辐射系数,一般取4.7

δ、δ、δ——分别表示锅体砖衬、锅体钢板及锅体保温层的厚度(m)

λ——锅体钢板的导热系数[kJ/(m·h·℃)1一般取209.3

λ——锅体保温层的导热系数[kJ/(m·h·C)].一般取0.628

λ——锅体砖衬的导热系数[kJ/(m·h·C)].一般取1.51

❷ 蒸煮保温阶段锅体散热损失Q11b

式中 Zb——蒸煮最高温度保温时间(h)

❸ 保温后放锅阶段锅体散热损失Q11c

式中 Zc——保温后放锅阶段时间(h)

其它同上

10.蒸煮锅管道及附属设备热损失Q17

[说明]蒸煮锅管道及附属设备(如循环泵、加热泵、预热器等)热损失亦包括加热损失和散热损失两部分,可分别进行计算。计算比较困难时,可取该项热损失(最大值)为蒸煮有效耗热总量的10%进行估算。

式中符号含义及单位同式4-1-105

11.蒸汽凝结水热损失Q13

式中 Q13a——直接加热蒸煮液蒸汽凝结水热损失(kJ/锅)

D1——直接加热蒸煮液所耗用蒸汽量(kg/锅)

C2——水的比热容[4.1868kJ/(kg·℃)]

t6、t2、t——同式4-1-125

Q13b——间接加热蒸煮液蒸汽凝结水热损失(kJ/锅)

D2——间接加热蒸煮液所耗用的蒸汽量(kg/锅)

其它同上

[注意]热量Q13b在企业中通常是加以利用的,但在蒸煮锅能量平衡系统中仍视为热损失。计算公式中的是特定通汽方式下的蒸汽平均温度,使用时应注意。

12.大放汽热损失Q14

式中 Q'5——大放汽放出的总热量(kJ/锅)

W——大放汽的总蒸汽量(kg/锅)

i7——大放汽蒸汽在平均温度下的比能(kJ/kg)

i1——环境温度、常压下水的比能(kJ/kg)

Q5——同式4-1-110

13.蒸煮锅其它热损失Q15

[说明]Q15包括蒸汽的泄漏损失、容器的开口散热损失、放锅热水的热交换损失、蒸煮液移出热损失等等,可视具体情况进行计算和估算,亦可用反算法求算。

式中 Q′——蒸煮实际供给总热量(kJ/锅),见式4-1-112

Q——蒸煮有效耗热总量(kJ/锅),见式4-1-105

其它同上

14.蒸煮锅总热损失Q

式中符号含义及单位均同上

[公式] Q=Q1+Q2+Q3+Q4+Q5 (4-1-105)

随便看

 

离鸟网收录3541549条中英文词条,其功能与新华字典、现代汉语词典、牛津高阶英汉词典等各类中英文词典类似,基本涵盖了全部常用中英文字词句的读音、释义及用法,是语言学习和写作的有利工具。

 

Copyright © 2004-2024 vtrois.com All Rights Reserved
更新时间:2026/5/30 19:18:50