网站首页  词典首页


请输入您要查询的字词:

 

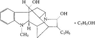
字词 醇合阿马林
类别 中英文字词句释义及详细解析
释义 醇合阿马林

C20H26N2O2·C3H6O=372.49

CAS-4360-12-7(aimaline)

阿马兰17,21-二醇与乙醇的复合物(17R,21α)。

Ajmalan 17,21-diol,ethanol(17R,21α).

抗心律失常药。治疗房性和室性早搏,阵发性室上性和室性心动过速,阵发性心房颤。

醇合阿义马林,醇合阿马灵,醇合缓脉灵。

Ajmaline Monoethanolate.

MI.

随便看

 

离鸟网收录3541549条中英文词条,其功能与新华字典、现代汉语词典、牛津高阶英汉词典等各类中英文词典类似,基本涵盖了全部常用中英文字词句的读音、释义及用法,是语言学习和写作的有利工具。

 

Copyright © 2004-2024 vtrois.com All Rights Reserved
更新时间:2026/4/6 18:13:25