网站首页  词典首页


请输入您要查询的字词:

 

字词 醋戊曲酯
类别 中英文字词句释义及详细解析
释义 醋戊曲酯

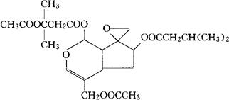
C24H32O10=480.51

CAS-25161-41-5

1,7a-二氢-1,6-二羟基螺[环戊二烯并[c]吡喃基-7(6),2′-环氧乙烷]-4-甲醇4-醋酸酯,1(或6)-异戊酸酯,6(或1)-(3-羟基-3-甲基丁酸酯醋酸酯)。

1,7a-Dihydro-1,6-dihydroxyspiro[cyclopenta[c]pyran-7(6),2′-oxirane]-4-methanol 4-acetate 1(or 6)-isovalerate 6(or 1)-(3-hydoxy-3-mehtylbutyrate,acetate).

催眠镇静药。

Acevaltrate.

INN,USAN.

随便看

 

离鸟网收录3541549条中英文词条,其功能与新华字典、现代汉语词典、牛津高阶英汉词典等各类中英文词典类似,基本涵盖了全部常用中英文字词句的读音、释义及用法,是语言学习和写作的有利工具。

 

Copyright © 2004-2024 vtrois.com All Rights Reserved
更新时间:2026/4/8 2:55:48