网站首页  词典首页


请输入您要查询的字词:

 

字词 醋碘苯酸钠[典]
类别 中英文字词句释义及详细解析
释义 醋碘苯酸钠[典]

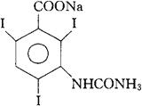
C9H5I3NNaO3=578.87

CAS-129-63-5

3-乙酰胺基-2,4,6-三碘苯甲酸钠。

3-Acetamido-2,4,6-triiodobenzoic acid sodium salt.

诊断用药。用于泌尿系、心血管、周围血管、脑血管等造影。

乌洛康钠。

Sodium Acetrizoate, Acetrizoate Sodium, Cystokon,Bronchoselectan,Diaginol,Iodopaque,Triiotrast,Urokon Sodium,Vesamin.

醋碘尿酸钠注射液。

INN,BP,DCF,DCIT,IP,NFN,USAN,USP,MI,

随便看

 

离鸟网收录3541549条中英文词条,其功能与新华字典、现代汉语词典、牛津高阶英汉词典等各类中英文词典类似,基本涵盖了全部常用中英文字词句的读音、释义及用法,是语言学习和写作的有利工具。

 

Copyright © 2004-2024 vtrois.com All Rights Reserved
更新时间:2026/5/27 0:34:14