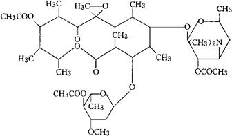
醋竹桃霉素
C41H67NO15=813.98 CAS-2751-09-9 竹桃霉素三乙酰酯。 Oleandomycin triacetyl ester. 三乙酰竹桃霉素。 Triacetyl oleandomycin. 抗菌药。 Troleandomycin,Cyclamycin,Isotriacin,Aovine,Cetilmin,Matnomycin,Oleandocetine,Oleandocyn,Speotrobact,TAO,Treolmicina,Tribiocillina,NSC108166,Evramycin,Wytrion,Cyclamin. INN,BAN,DCIT,FP,JP,NP,NFN,USAN,USP. 
|