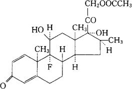
醋酸倍他米松
C24H31FO6=434.50 CAS-987-24-6 (11β,16β)-9-氟-11,17-二羟基-16-甲基-21-(乙酰氧基)-孕甾-1,4-二烯-3,20-二酮。 (11β,16β)9-Fluoro-11,17-dihydroxy-16-methyl-21-(acetyloxy)-pregna-1,4-diene-3,20-dione. 9-氟-11β,17,21-三羟基-16β,-甲基孕甾-1,4-二烯-3,20-二酮21-醋酸酯。 9-Fluoro-11β,17,21-trihydroxy-16β-methylpregna1,4-diene-3,20-dione 21-acetate. 肾上腺皮质激素类药。 倍他米松醋酸酯。 Betamethasone Acetate,Befafluorene. INN,BAN(Befamethasone),JAN,USAN,USP.  |