醋酸可米松
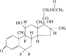
C24H29F3O6=470.48 CAS-35135-67-2 CAS-35135-68-3(cormethasone) (11β,16α)-21-(乙酰基氧)6,6,9,-三氟-11,17-二羟-16-甲基孕甾-1,4-二烯-3,20-二酮。 (11β,16α)-21-(Acetyloxy)-6,6,9-trifluoro-11,17-dihydroxy-16-methylpregna-1,4-diene-3,20-dione. 6,6,9-三氟-11β,17,21-三羟-16α-甲基孕甾-1,4-二烯-3,20-二酮21-醋酸酯。 6,6,9-Trifluoro-11β,17,21-trihydroxy-16α-methylpregna-1,4-diene-3,20-dione 21-acetate. 肾上腺皮质激素类药。 可美萨松乙酸酯。 Cormethasone Acetate,RS-369R. INN(Comethasone),USAN.  |