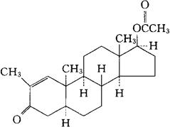
醋酸司坦勃龙
C22H32O3=344.49 CAS-1242-56-4 CAS-5197-58-0(stenbolone) (5α,17β-17-(乙酰氧)-2-甲基-雄甾-1-烯-3-酮。 (5α,17β)-17-(Acetyloxy)-2-methyl-androst-1-en-3-one. 17β-羟-2-甲基-5α-雄甾-1-烯-3-酮醋酸酯。 17β-Hydroxy-2-methyl-5α-androst-1-en-3-one acetate. 雄激素,同化激素类药。 Stenbolone Acetate. INN(Stenbolone),USAN.  |