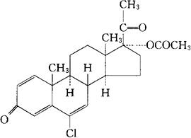
醋酸地马孕酮
C23H27ClO4=402.92 CAS-13698-49-2 CAS-15262-77-8(delmadinone) 17-(乙酰氧)-6-氯-孕甾-1,4,6-三烯-3,20-二酮。 Pregna-1,4,6-triene-3,20-dione,17-(acetyloxy)-6-chloro-. 6-氯-17-羟孕甾-1,4,6-三烯-3,20-二酮醋酸酯。 6-Chloro-17-hydroxypregna-1,4,6-triene-3,20-dione acetate. 孕激素类药。 Delmadinone Acetate,RS-1301. INN&BAN(Delmadinone),USAN.  |