网站首页  词典首页


请输入您要查询的字词:

 

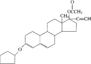
字词 醋酸奎孕酮
类别 中英文字词句释义及详细解析
释义 醋酸奎孕酮

C27H36O3=408.59

CAS-3000-39-3

3-环戊基氧-19-去甲基-17α-孕甾-3,5-二烯-20-炔-17-醇醋酸酯。

3-(Cyclopentyloxy)-19-nor-17α-pregna-3,5-diene20-yn-17-ol acetate.

孕激素类药。用于避孕。

醋酸坤孕醇,醋炔醚。

Quingestanol Acetate.

USAN.

随便看

 

离鸟网收录3541549条中英文词条,其功能与新华字典、现代汉语词典、牛津高阶英汉词典等各类中英文词典类似,基本涵盖了全部常用中英文字词句的读音、释义及用法,是语言学习和写作的有利工具。

 

Copyright © 2004-2024 vtrois.com All Rights Reserved
更新时间:2026/4/9 8:49:01