醋酸尼司特林
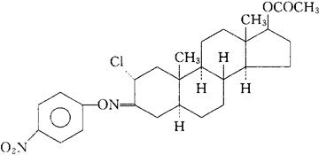
C27H35ClN2O5=503.04 CAS-51354-31-5 CAS-51354-32-6(nisterime) (2α,5α,17β)-17-(乙酰氧)-2-氯-雄甾烷-3-酮,3-[O(4-硝苯基)肟]。 (2α,5α,17β)-17-(Acetyloxy)-2-chloro-androstan-3-one,3-[O-(4-nitrophenyl)oxime]. 2α-氯-17β-羟5α-雄甾烷-3-酮O-(对-硝苯基)肟醋酸酯, 2α-Chloro-17β-hydroxy-5α-androstan-3-one O-(p-nitrophenyl)oxime acetate(ester). 孕激素类药。 Nisterime Acetate,ORF 9326. INN(Nisterime),USAN.  |