网站首页  词典首页


请输入您要查询的字词:

 

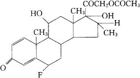
字词 醋酸帕拉米松
类别 中英文字词句释义及详细解析
释义 醋酸帕拉米松

C24H31FO6=434.50

CAS-1597-82-6

6α-氟-11β,17,21-三羟-16α-甲基孕甾-1,4-二烯-3,20-二酮21-醋酸酯。

6α-Fluoro-11β,17,21-trihydroxy-16α-methylpregna1,4-diene-3,20-dione 21-acetate.

皮质激素类药。

醋酸对氟米松。

Paramethasone Acetate,Haldrone,Monocortin,Stemex.

USAN,USP,MI.

随便看

 

离鸟网收录3541549条中英文词条,其功能与新华字典、现代汉语词典、牛津高阶英汉词典等各类中英文词典类似,基本涵盖了全部常用中英文字词句的读音、释义及用法,是语言学习和写作的有利工具。

 

Copyright © 2004-2024 vtrois.com All Rights Reserved
更新时间:2026/5/31 19:29:27