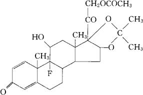
醋酸曲安奈德
C26H33FO7=476.53 CAS-76-25 5(triamcinolone) 9-氟-11,21-二羟-16,17-[1-甲基亚乙基双(氧)]孕甾-1,4-二烯-3,20二酮21-醋酸酯。 9-Fluoro-11,21-dihydroxy-16,17-[1-methylethylidenebis(oxy)]pregna-1,4-diene-3,20-dione 21-acetate. 9α-氟-11β,16α,17,21四羟孕甾-1,4-二烯-3,20-与丙酮形成环16,17乙缩醛21醋酸酯。 9α-Fluoro-11β,16α,17,21-tetrahydroxypregna-1,4-diene-3,20-dione cyclic 16,17-acetal with acetone21-acetate. 肾上腺皮质激素类药,消炎药。用于创伤性、类风湿性关节炎等胶性疾患,也可用于过敏性、神经性皮炎等皮肤病。 醋酸确炎舒松A,醋酸去炎舒松,醋酸曲安缩松,醋酸去炎松。 Triamcinolone Acetonide Acetate. 醋酸确炎舒松A注射液,醋酸去炎松混悬注射液,醋酸确炎舒松A软膏(醋酸去炎松软膏,醋酸确炎舒松软膏,醋酸曲安缩松软膏)。 MI. 
|