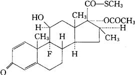
醋酸替莫贝松
C24H31FO5S=450.57 CAS-79578-14-6 (11β,16β,17α)-17-(乙酰氧基)-9-氟-11-羟-16-甲基-3-氧代-雄甾-1,4-二烯-17-硫代羧酸S-甲酯。 (11β,16β,17α)-17-(Acetyloxy)-9-fluoro-11-hydroxy-16-methyl-3-oxo-androsta-1,4-diene-17-carbothioic acid,S-methyl ester. 9-氟-11β,17-二羟-16β-甲基雄甾-1,4-二烯-3-酮-17β-硫代羧酸甲酯,17-醋酸酯。 S-Methyl 9-fluoro-11β,17-dihydroxy-16β-methylandrosta-1,4-dien-3-one-17β-carbothioate,17-acetate. 皮质激素类药。 Timobesone Acetate,RS-85446-007. INN(Timobesone),USAN.  |