网站首页  词典首页


请输入您要查询的字词:

 

字词 醋酸氟卡尼[中]
类别 中英文字词句释义及详细解析
释义 醋酸氟卡尼[中]

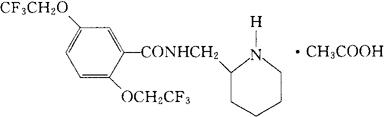
C17H20F6N2O3·C2H4O2=474.40

CAS-54143-56-5

N-(2-哌啶甲基)-2,5-双(2,2,2-三氟乙氧)苯甲酰胺醋酸盐。

N-(2-Piperidylmethyl)-2,5-bis(2,2,2-trifluoroethoxy)benzamide acetate.

抗心律失常药。

醋酸氟卡胺。

Flecainide Acetate,Tambocor,Modicard.

INN & BAN(Flecainide),USAN,MI.

随便看

 

离鸟网收录3541549条中英文词条,其功能与新华字典、现代汉语词典、牛津高阶英汉词典等各类中英文词典类似,基本涵盖了全部常用中英文字词句的读音、释义及用法,是语言学习和写作的有利工具。

 

Copyright © 2004-2024 vtrois.com All Rights Reserved
更新时间:2026/4/7 1:13:29