网站首页  词典首页


请输入您要查询的字词:

 

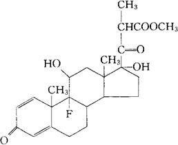
字词 醋酸氟培龙
类别 中英文字词句释义及详细解析
释义 醋酸氟培龙

C24H31FO6=434.50

CAS-2119-75-7

9-氟-11β,17-二羟-17-乳酰雄甾-1,4-二烯-3-酮-17β-醋酸酯。

9-Fluoro-11β,17-dihydroxy-17-lactoylandrosta-1,4-dien-3-one-17β-acetate.

[11β-17α-17(S)]-17-[2-(2-(乙酰氧)-1-氧代丙基]-9-氟-11,17-二羟-雄甾-1,4-二烯-3-酮。

[11β-17α-17(S)]-17-[2-(2-(Acetyloxy)-1-oxopropyl]-9-fluoro-11,17-dihydroxyandrosta-1,4-dien-3-one.

肾上腺皮质激素类药。

醋酸氟乳龙。

Fluperolone Acetate,Methral,P-1742.

INN & BAN(Fluperolone),USAN,MI.

随便看

 

离鸟网收录3541549条中英文词条,其功能与新华字典、现代汉语词典、牛津高阶英汉词典等各类中英文词典类似,基本涵盖了全部常用中英文字词句的读音、释义及用法,是语言学习和写作的有利工具。

 

Copyright © 2004-2024 vtrois.com All Rights Reserved
更新时间:2026/4/7 18:53:13