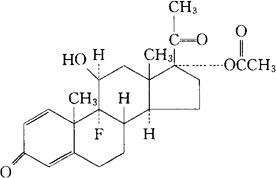
醋酸氟孕酮
C23H31FO5=406.49 CAS-2529-45-5 (11β)-17-(乙酰氧)-9-氟-11-羟孕甾-4-烯-3,20-二酮。 (11β)-17-(Acetyloxy)-9-fluoro-11-hydroxypregn-4-ene-3,20-dione. 9-氟-11β-17-二羟孕甾-4-烯-3,20-二酸17-醋酸酯。 9-Fluoro-11β-17-dihydroxypregn-4-ene-3,20-dione17-acetate. 孕激素类药。 Flurogestone Acetate,Flugastone Acetate,SC9880,NSC-65411. INN & BAN(Flugestone),USAN.  |