网站首页  词典首页


请输入您要查询的字词:

 

字词 醋酸氟轻松[典]
类别 中英文字词句释义及详细解析
释义 醋酸氟轻松[典]

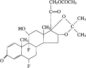
C26H32F2O7=494.53

CAS-356-12-7

(6α,11β,16α)-21-(乙酰氧)-6,9-二氟-11-羟-16,17-[(1-甲基亚乙基)双(氧)]孕甾-1,4-二烯-3,20-二酮。

(6α,11β,16α)-21-(Acetyloxy)-6,9-difluoro-11-hydroxy-16,17-[(1-methylethylidene)bis(oxy)]-pregna-1,4-diene-3,20-dione.

6α,9-二氟-11β,16α,17,21-四羟孕甾-1,4-二烯-3,20-二酮,环与丙酮形成-16,17-乙缩醛-21-醋酸酯。

6α,9-Difluoro-11β,16α,17,21-tetrahydroxypregna1,4-diene-3,20-dione,cyclic-16,17-acetal with acetone 21-acetate.

肾上腺皮质激素类药。用于过敏性皮炎、接触性皮炎、脂溢性皮炎及湿疹等。

醋酸肤轻松,肤轻松醋酸酯,氟轻松醋酸酯。

Fluocinolone Acetonide Acetate,Fluocinonide,Fluoinolide,Lidex,Topsyn, Fluocinolide, NSC101791.

醋酸氟轻松膏(醋酸肤轻松软膏)。

INN,BAN,DCF,DCIT,JAN,NFN,USAN,USP,MI.

随便看

 

离鸟网收录3541549条中英文词条,其功能与新华字典、现代汉语词典、牛津高阶英汉词典等各类中英文词典类似,基本涵盖了全部常用中英文字词句的读音、释义及用法,是语言学习和写作的有利工具。

 

Copyright © 2004-2024 vtrois.com All Rights Reserved
更新时间:2026/5/25 9:22:31