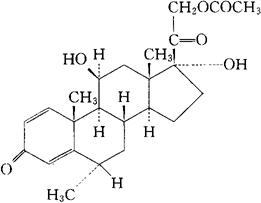
醋酸甲泼尼龙
C24H32O6=416.51 CAS-53-36-1 (6α,11β)-21-(乙酰氧)-11,17-二羟-6-甲基-孕甾-1,-4-二烯-3,20-二酮。 (6α,11β)-21-(Acetyloxy)-11,17-dihydroxy-6-methyl-pregna-1,4-diene-3,20-dione. 11β,17,21-三羟-6α-甲基孕甾-1,4-二烯-3,20-二酮21-醋酸酯。 11β,17,21-Trihydroxy-6α-methylpregna-1,4-diene3,20-dione 21-acetate. 肾上腺皮质激素类药。 Methylprednisolone Acetate,Depomedrate,Depomedr0l. USAN,USP.  |