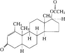
醋酸美替诺龙
C22H32O3=344.49 CAS-434-05-9 CAS-153-00-4(methenolone) (5α,17β)-17(乙酰氧)-1-甲基-雄甾-1-烯-3-酮。 (5α,17β)-17-(Acetyloxy)-1-methyl-androst-1-en-3-one. 17β-羟-1-甲基-5α-雄甾-1-烯-3-酮醋酸酯。 17β-Hydroxy-1-methyl-5α-androst-1-en-3-one acetate. 雄激素,同化激素类药。 Methenolone Acetate,SH 567,SQ 16496,NSC74226,Nibal,Primobolan,Primonabol. INN,BAN(Methenolone),USAN(Methenolone Acetate).  |