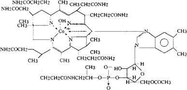
醋酸羟钴胺
C64H91CoN13O16P=1376.44 CAS-13422-51-0(hydroxocobalamin) 钴啉醇酰胺乙酸磷酸盐3′-酯与5,6-二甲基-1-α-D呋喃核糖基苯并咪唑内的盐。 Cobinamide acetate phosphate 3′-ester with 5,6-dimethyl-1-α-D-ribofuranosylbenzimidazole inner salt. 抗贫血药。 Hydroxocobalamin Acetate,Acetatocobalamin,Idoxo B,Novidroxin. JAN,MI.  |