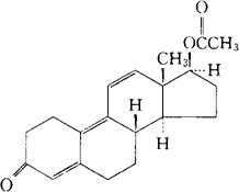
醋酸群勃龙
C20H24O3=312.41 CAS-10161-34-9 CAS-10161-33-8(trenbolone) 17-(乙酰氧)-,(17β)-雌甾-4,9,11-三烯-3-酮。 Estra-4,9,11-trien-3-one,17-(acetyloxy)-,(17β)-. 17β-羟雌甾-4,9,11-三烯-3-酮醋酸酯。 17β-Hydroxyestra-4,9,11-trien-3-one,acetate. 雄激素,同化激素类药。 Trenbolone Acetate,RU-1697,Finaplix,Finaject. INN & BAN(Trenbolone),USAN.  |