网站首页  词典首页


请输入您要查询的字词:

 

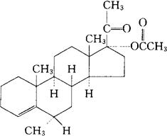
字词 醋酸阿那孕酮
类别 中英文字词句释义及详细解析
释义 醋酸阿那孕酮

C24H36O3=372.55

CAS-3137-73-3

CAS-2740-52-5

(6α)-17-(乙酰氧基)-6-甲基孕甾-4-烯-20-酮。

(6α)-17-(Acetyloxy)-6-methylpregn-4-en-20-one.

17-羟基-6α-甲基孕甾-4-烯-20-酮醋酸酯。

17-Hydroxy-6α-methylpregn-4-en-20-one acetate.

孕激素类药。

阿那孕酮醋酸酯。

Anagestone Acetate.

INN,USAN.

随便看

 

离鸟网收录3541549条中英文词条,其功能与新华字典、现代汉语词典、牛津高阶英汉词典等各类中英文词典类似,基本涵盖了全部常用中英文字词句的读音、释义及用法,是语言学习和写作的有利工具。

 

Copyright © 2004-2024 vtrois.com All Rights Reserved
更新时间:2026/5/31 22:07:40